Come funziona uno scambiatore di calore a piastre?

Principi di funzionamento di uno scambiatore di calore

Coloro che desiderano familiarizzare maggiormente con il funzionamento degli scambiatori a piastre, troveranno qui di seguito in maniera molto elementare i principi fondamentali dello scambio termico. Secondo le leggi naturali della fisica, l’energia presente in un sistema tende sempre a raggiungere l’equilibrio. Fino a quando esisterà una differenza di temperatura, il calore lascerà il corpo o il liquido caldo per essere trasferito in quello freddo. Uno scambiatore di calore rispetta questo principio di raggiungimento dell’equalizzazione. Con uno scambiatore di calore a piastre, il calore attraversa facilmente la superficie che separa il fluido caldo da quello freddo. Questo permette di riscaldare o raffreddare liquidi o gas con livelli minimi di energia. La differenza di temperatura costituisce l’”energia motrice” dello scambiatore.

Scambiatori di calore a piastre: efficienza, sostenibilità e innovazione digitale

Gli scambiatori di calore a piastre Alfa Laval sono progettati per rispondere alle esigenze più attuali dell’industria: efficienza energetica, sostenibilità ambientale e digitalizzazione dei processi.
Grazie all’impiego di materiali riciclati e refrigeranti a basso GWP, i nostri prodotti sono conformi alle normative europee 2026.
Le soluzioni di monitoraggio IoT consentono la manutenzione predittiva e il controllo remoto, riducendo i costi operativi e garantendo la massima affidabilità.

Applicazioni avanzate:

  • Raffreddamento sostenibile per data center e smart city
  • Recupero di calore in impianti industriali e reti di teleriscaldamento
  • Soluzioni personalizzate per alimentare, farmaceutico e HVAC

Perché scegliere Alfa Laval?

  • Efficienza energetica superiore
  • Compatibilità con refrigeranti green
  • Monitoraggio digitale e manutenzione predittiva
  • Casi di successo concreti in Italia e nel Mondo

Domande frequenti sugli scambiatori di calore Alfa Laval

1. Gli scambiatori Alfa Laval sono compatibili con refrigeranti a basso GWP e soluzioni green?
Sì, i nostri scambiatori di calore a piastre sono progettati per refrigeranti a basso impatto ambientale (GWP).Sono adatti a R290, R1234ze e altri refrigeranti simili.Il tutto è in linea con le normative europee del 2026.

2. È possibile monitorare da remoto le prestazioni degli scambiatori di calore Alfa Laval?
Sì. Grazie alle nostre soluzioni digitali, come Alfa Laval IoT Connect, puoi monitorare l’efficienza in tempo reale.Puoi anche controllare i consumi e lo stato di manutenzione degli impianti.Così ottimizzi i costi e previeni i fermi macchina.

3. Come posso ridurre i costi di manutenzione e aumentare la durata dello scambiatore?
Utilizzando i nostri servizi di manutenzione predittiva e pulizia automatizzata, puoi ridurre i rischi di fouling e prolungare la vita utile dell’impianto fino al 30%.

4. Gli scambiatori Alfa Laval sono adatti per applicazioni in data center e smart city?
Assolutamente sì! I nostri modelli sono già utilizzati in progetti di raffreddamento sostenibile per data center e reti di teleriscaldamento urbano in tutta Europa.

5. Quali sono le novità Alfa Laval per il 2026?
Abbiamo introdotto nuove linee di scambiatori con materiali riciclati, efficienza energetica superiore e compatibilità con sistemi di monitoraggio intelligente.

Casi di studio Alfa Laval

Tipologie di scambiatori di calore

Scambiatori di calore saldobrasati

Gli scambiatori di calore a piastre saldobrasati (BPHE - Brazed Plate Heat Exchanger)  offrono numerosi vantaggi. La tecnologia saldobrasata elimina la necessità di tenute e piastre del telaio spesse; offre, inoltre, un'eccellente resistenza alla pressione e alla fatica termica in un'ampia gamma di applicazioni di riscaldamento e raffreddamento.  Gli scambiatori di calore saldobrasati di Alfa Laval spesso rappresentano la prima alternativa naturale in tutto il mondo.

Bhe close 640x360

Scambiatori a piastre guarnizionati

In uno scambiatore di calore a piastre guarnizionate (GPHE - Gasketed Plate Heat Exchanger), le piastre sono dotate di guarnizioni elastomeriche che sigillano i canali e dirigono il materiale in canali alternati. Il pacco piastre è contenuto all'interno di un telaio costituito da una piastra fissa ed una piastra di pressione mobile. Il design consente una facile pulizia e una semplice modifica della capacità (rimuovendo o aggiungendo lastre).

UK heat Exchangers

Catalogo scambiatori di calore Alfa Laval

Il catalogo online di Alfa Laval è uno strumento di facile utilizzo che consente di identificare la soluzione migliore per la propria applicazione. La selezione di modelli della linea Fast Track proviene dalla linea Industriale. Questo assortimento preconfigurato comprende configurazioni adatte alla maggior parte delle applicazioni.

product-guide-640x360-B

Quali sono i diversi tipi di scambiatori di calore a piastre?

Esistono molti tipi di scambiatori di calore a piastre, con design diversi destinati a servire al meglio diversi tipi di applicazioni e condizioni di processo specifiche. In linea di massima, le principali categorie di scambiatori di calore a piastre comuni sono:

Come scelgo lo scambiatore di calore a piastre della giusta dimensione?


In base alle esigenze di processo e alla capacità richiesta, Alfa Laval può aiutarti a selezionare la dimensione ottimale dello scambiatore di calore a piastre per le tue esigenze.  Puoi consultare questi strumenti online per avere maggiori informazioni:

Alfa Laval Catalogo Online

HEXpert per compiti di scambio termico nell'industria di processo pesante

 

In quali applicazioni dell'industria leggera trovo scambiatori di calore a piastre?


Gli scambiatori di calore a piastre sono utilizzati in un'ampia gamma di funzioni, in quasi tutti i settori immaginabili, in tutto il mondo. Sul nostro Heating and Cooling Hub, puoi trovare una serie di esempi di applicazioni reali che dimostrano perché avere lo scambiatore di calore a piastre giusto per il servizio fa davvero la differenza nelle prestazioni del processo.
Le applicazioni tipiche includono:

Una stretta collaborazione con i consulenti ed i clienti è essenziale per la realizzazione di un impianto. Sin dalla prima richiesta di informazioni, contribuiamo in modo attivo e costruttivo per garantirvi la migliore soluzione possibile, sia che si tratti di un singolo prodotto sia che si tratti di un progetto di grandi dimensioni.

Alfa Laval è la vostra assicurazione di qualità in termini di compattezza, facilità di installazione, costi ridotti di manutenzione, elevata efficienza energetica, sicurezza e flessibilità dei nostri scambiatori di calore. 
In altre parole un funzionamento affidabile, una durata operativa senza precedenti, un rapido ritorno sugli investimenti.

 

 

Tipologie di scambiatori per fluido

Scambiatori di calore aria acqua

  • Condensatori raffreddati ad aria
  • Refrigeratori di liquidi raffreddati ad aria
  • Refrigeratori di gas raffreddati ad aria
  • Refrigeratori/Raffreddatori ad aria
  • Riscaldatori di aria

Scambiatore di calore acqua olio

Lo scambio termico è regolato da leggi specifiche:

  • Il calore si propaga sempre da un corpo caldo a uno freddo
  • È essenziale che tre i due corpi o fluidi ci sia una differenza di temperatura
  • Il calore si propaga da un corpo più caldo a uno più freddo ad eccezione di alcune dispersioni nell'ambiente

Teoria di base dello scambio termico

Il calore può essere trasferito in tre modi diversi: radiazione, conduzione, convezione.

  • Radiazione: l'energia è trasferita attraverso radiazione elettromagnetica (come ad esempio il sole che riscalda la Terra).
  • Conduzione: l'energia è trasferita da un corpo stazionario all'altro attraverso il movimento di atomi o molecole.
  • Convezione: quando un fluido è mischiato ad un altro. È essenziale, però, fare una precisazione: la convezione può essere di tue tipi, naturale o forzata.
    Naturale, quando la differenza di densità tra due fluidi fa si che si generi movimento e le differenze di temperatura sono equilibrate.
    Forzata, quando un fattore esterno fa si che ci sia movimentazione del fluido (come ad esempio una pompa).

Per maggiori informazioni scarica il catalogo completo dove potrai trovare ulteriori approfondimenti sul calcolo (capitolo 5) e il funzionamento di uno scambiatore di calore.

Teoria dello scambio termico

Per risolvere un problema termico, è necessario conoscere alcuni parametri, mentre altri possono essere calcolati con l'aiuto di questi ultimi, è quindi possibile determinare dati ulteriori. I sei parametri più importanti sono

  1. La quantità di calore da trasferire (potenzialità termica);
  2. La temperatura di ingresso e uscita dal lato primario e secondario;
  3. Le perdite di carico massime consentite sul lato primario e secondario;
  4. La temperatura di esercizio massima;
  5. La pressione di esercizio massima;
  6. La portata sul lato primario e secondario;
  7. Le tipologie di fluidi.

Se la portata, il calore specifico e la differenza di temperatura su un lato sono note, è possibile calcolare la potenzialità.

Programma termico

Indica la temperatura di ingresso e uscita di entrambi i fluidi nello scambiatore di calore.

  • T1 = Temperatura di ingresso − lato caldo
  • T2 = Temperatura di uscita − lato caldo
  • T3 = temperatura di ingresso − lato freddo
  • T4 = Temperatura di uscita − lato freddo

Il programma termico è rappresentato nello schema seguente.

Schema termico - scambiatore di calore

                   

Potenza

Senza tener conto delle dispersioni di calore nell'atmosfera, che sono trascurabili, il calore perso (potenza) da un lato dello scambiatore di calore a piastre è equivalente al calore acquisito dall'altro lato. La potenza (P) è espressa in kW o kcal/h.

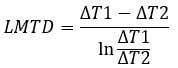
Differenza media di temperatura logaritmica 

La differenza media di temperatura logaritmica (LMTD) è la forza di trasmissione effettiva nello scambiatore di calore. (Vedi formula sopra)

Lunghezza termica

La lunghezza termica (Θ) è il rapporto tra la differenza di temperatura δt su un lato e la LMTD

Θ=δt/LMTD

La lunghezza termica indica la difficoltà di un'applicazione dal punto di vista termico.

Densità

La densità (ρ) è la massa per unità di volume ed è espressa in kg/m3 o kg/dm3.

Raffreddamento

In alcuni casi, come nelle applicazioni di raffreddamento, il programma termico è molto critico e necessita approcci precisi a seconda delle diverse temperature. Questo è quello che definiamo come elevata lunghezza termica e richiede unità specifiche. Per elevata lunghezza termica intendiamo casi con valori di Θ > 1 e sono caratterizzati da:

  • piastre lunghe, quindi più tempo necessario per il raffreddamento del liquido
  • bassa pressione, quindi peggiore distribuzione del liquido da raffreddare.

Gli scambiatori di calore a piastre sono migliori degli scambiatori a fascio tubiero nella gestione di valori elevati di lunghezza termica. Gli scambiatori di calore a fascio tubiero possono arrivare a valori di theta ~ 1, mentre gli scambiatori di a piastre arrivano anche a valori superiori a 10. Per raggiungere questi valori, nel caso degli scambiatori a fascio tubiero, sarebbe necessario mettere più unità in serie.

Portata

Può essere espressa in due modi diversi: per peso o per volume. Le unità di flusso per peso sono in Kg/s o kg/h le unità di flusso per volume sono in m3/h o l/min. Per convertire le unità di volume in unità di peso, è necessario moltiplicare il flusso di volume per la densità. 

La portata massima generalmente determina quale tipo di scambiatore di calore sia appropriato per uno scopo specifico. Gli scambiatori di calore a piastre Alfa Laval possono essere utilizzati per portate da 0,05 kg/s a 1400kg/s. In termini di volume, ciò equivale a 0,18 m3/h - 5000 m3/h in un'applicazione per acqua. Se la portata supera questi valori, sarà possibile suddividere la portata in più unità in parallelo.

Cadute di pressione

La caduta di pressione (Δρ) è inversamente proporzionale alle dimensioni dello scambiatore di calore a piastre. Se è possibile aumentare la caduta di pressione consentita e accettare costi di pompaggio maggiori, lo scambiatore di calore sarà di dimensioni inferiori e meno costoso. A titolo indicativo, cadute di pressione tra 20 e 200 kPa sono considerate normali per le applicazioni acqua/acqua.

Calore specifico

il calore specifico (cρ) è la quantità di energia necessaria per aumentare di un grado centigrado 1kg di sostanza. Il calore specifico dell'acqua a 20°C è 4182kJ/kg °C o 1,0 kcal/kg °C.

Viscosità

La viscosità misura la facilità di scorrimento di un liquido. Minore è la viscosità, maggiore sarà la facilità di scorrimento. La viscosità è espressa in centipoise (cP) o centistoke (cSt).

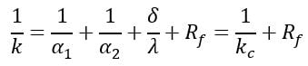
Coefficiente di scambio termico complessivo

Il coefficiente di scambio termico complessivo (k) misura la resistenza del trasferimento di calore, composta dalla quantità di sporcamento, dalla natura dei fluidi e dal tipo di scambiatore utilizzato. Il coefficiente di scambio termico complessivo è espresso un W/m2 °C o kcal/h, m2 °C

scambio termico teoria, theta basso

scambio termico teoria, theta alto

Metodo di calcolo

Il carico di calore di uno scambiatore di calore può essere calcolato grazie alle due formule seguenti:

  1. Calcolo Poenzialità, Theta e LMTD


Dove:

P= potenzialità (kW)
m= portata massica (kg/s)
cρ= calore specifico (kJ/kg°C)
δt= differenze tra le temperature di ingresso e uscita su un lato (°C)
k= coeffciente di scambio termico (W/m2°C) 
A= area dello scambio termico (m2)
LMTD= differenza media di temperatura logaritmica

T1 = Temperatura di ingresso − lato caldo

T2 = Temperatura di uscita − lato caldo

T3 = temperatura di ingresso − lato freddo

T4 = Temperatura di uscita − lato freddo

LMTD può essere calcolata utilizzando la formula seguente, dove ΔT1 = T1  − T4 AND Δ2 = T3 − T3

  2. Coefficiente di scambio termico e margine di progetto

Il coefficiente di scambio termico complessivo totale k è definito come:

Il margine di progetto (M) è calcolato come: 

cioè, più alto è il valore Kc, inferiore sarà il valore Rf per raggiungere lo stesso margine di progetto.

Ogni parametro dell'equazione può influire sulla scelta dello scambiatore di calore. La scelta dei materiali, generalmente, influisce poco sull'efficienza, ma solo sulle proprietà di forza e corrosione dell'unità. 

In uno scambiatore di calore a piastre, è possibile usufruire dei vantaggi derivanti da piccole differenze di temperatura e spessore delle piastre compreso tra 0,3 e 0,6mm. I valori alfa sono prodotti dalle turbolenza molto elevata e il fattore di sporcamento è generalmente molto ridotto. Ciò definisce un coefficiente k che, in circostanze favorevoli, può essere nell'oridne di 8000 W/m2°C.

Con gli scambiatori di calore tradizionali a fascio tubiero, il coefficiente k sarà inferiore a 2500 W/m2°C.

Fattori importanti per minimizzare il costo dello scambiatore di calore:

  1. Caduta di pressione - Più è elevata la caduta di pressione ammissibile, minore è la superficie di scambio termico necessaria.
  2. LMTD - Maggiore è la differenza di temperatura tra i fluidi, minore sarà la dimensione dello scambiatore di calore. 

Materiali di costruzione

Nella maggior parte degli scambiatori di calore Alfa Laval per applicazioni acqua/acqua sono utilizzate piastre in acciaio inossidabile AISI 316 di altà qualità. Quando il contenuto di cloruro non impone la necessità di AISI 316, è possibile utilizzare materiale in acciaio inossidabile AISI 304, meno costoso. sono inoltre disponibili piastre in materiali diversi, per varie applicazioni. Per gli scambiatori di calore a piastre saldobrasate Alfa Laval, è sempre utilizzato acciaio inossidabile AISI 316. Per acqua di mare e acqua salmastra, è necessario utilizzare solo titanio di rado 1 (puro all 99,6%). 

Limitazioni di temperatura e pressione

La temperatura e la pressione massima he uno scambiatore può raggiungere ne influenzano il costo. Come regola generale si può dire che, più basse sono le temperature e la pressione massima e più basso sarà il prezzo. 

Sporcamento e fattori di sporcamento

Lo sporcamento consentito può essere espresso come margine di progetto (M) (cioè, una percentuale aggiuntiva dell'area di scambio termico) oppure come fattore di sporcamento, espresso in m2°C/W o M2h°C/kcal. Il fattore Rf deve essere di molto inferiore per uno scambiatore di calore a piastre rispetto a quello degli scambiatori di calore a fascio tubiero.

Valori k superiori implicano fattori di sporcamento inferiori

Il progetto degli scambiatori di calore a piastre implica una turbolenza, e di conseguenza un'efficienza termica, molto maggiore degli scambiatori a fascio tubiero. Un coefficiente k tipico (acqua/acqua) per uno scambiatore di calore a piastre è 6000-7500 W/m2°C, mentre uno scambiatore a fascio tubiero tipico restituisce solo 2000-2500 W/m2°C.

Un valore Rf tipico utilizzato per gli scambiatori a fascio tubiero è 1 x 10-4m2C/W. Con valori k pari a 2000-2500 W/m2°C, il Margine risulta del 20-25%. (M = Kc x Rf). Per ottenere M = 20-25% nello scambiatore di calore a piastre con 6000-7500 W/m2°C, il valore Rf, deve essere pari solo a 0,33 x 10-4m2 °C/W.

Differenza nel modo in cui è aggiunto il margine

Nello scambiatore di calore a fascio tubiero, il margine è generalmente aggiunto aumentando la lunghezza dei tubi, mantenendo lo stesso flusso in ogni tubo. In uno scambiatore di calore a piastre, il margine è aumentato aggiungendo canali paralleli, cioè diminuendo il flusso per canale e ottenendo così un rapporto turbolenza/efficienza minore, aumentando il rischio di sporcamento. Un fattore di sporcamento troppo elevato può provacare un maggiore sporcamento! 

Per uno scambiatore di calore a piastre in applicazione acqua/acqua, un margine pari a 0-15%, dipendente dalla qualità dell'acqua è generalmente sufficiente.